Diisopropylcarbodiimide has been used in industry as a stabilizing agent, coupling agent, and condensing agent. The potential for exposure exists during the synthesis of polypeptides and other chemicals in the chemical and pharmaceutical industries, as well as during protein synthesis in the recombinant DNA industry.
Preparation of 2–5. a) pentafluorophenol, 1,3-diisopropylcarbodiimide, CH2Cl2; b) 2-phenylethylamine, 4-aminobutyric acid, or methylamine hydrochloride, iPr2EtN, DMF, 49% (13a), 70% (13b), or 68% (13c) yield for two steps; c) Ac2O, pyridine, then (for 4 and 6) H2O/dioxane, 99% (3), 81% (4), 90% (5), or 97% (6).
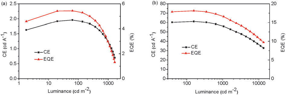
Tris(2-phenylpyridine)iridium, often abbreviated as [Ir(ppy)3], is an organometallic compound that serves as a key component in organic light-emitting diodes (OLEDs) and is also used in various photochemical applications. It's a green-emitting material known for its high phosphorescence quantum yield, meaning it efficiently converts electrical energy into light.
CE–luminance–EQE plots of (a) the non-doped blue fluorescent device and (b) the green phosphorescent device doped with Ir(ppy)3.
(alpha-D-mannosyl)7-beta-D-mannosyl-diacetylchitobiosyl-L-asparagine, isoform B (protein) is a member of methoxybenzenes.
A reaction profile was obtained using 1a under the standard conditions (Figure 1). Within 30 min, 1a was converted almost quantitatively to 4-iodoanisole (7a), and then 4-methoxybenzonitrile (2b) was started to form over time with the disappearance of 7a.
2-(4-Bromophenyl)benzofuran is an organic compound composed of a benzofuran ring system fused to a 4-bromophenyl substituent. The benzofuran moiety consists of a benzene ring fused to a furan ring, while the 4-bromophenyl group is a benzene ring with a bromine atom at the 4-position.
Suzuki coupling of 2-(4-bromophenyl)benzofuran (1m) and 3-tolylboronic acid
Trifluridine is a fluorinated pyrimidine nucleoside that is structurally related to [idoxuridine]. It is an active antiviral agent in ophthalmic solutions used mainly in the treatment of primary keratoconjunctivitis and recurrent epithelial keratitis due to herpes simplex virus. It displays effective antiviral activity against Herpes simplex virus type 1 and 2.
Fluorinated purine and pyrimidine antimetabolites clinically used for the treatment of numerous cancers and viral infections: Fluorouracil, capecitabine, gemcitabine, fludarabine, flucytosine, elvucitabine, tezacitabine, trifluridine.
Glutathione is a tripeptide compound consisting of glutamic acid attached via its side chain to the N-terminus of cysteinylglycine. It has a role as a skin lightening agent, a human metabolite, an Escherichia coli metabolite, a mouse metabolite, a geroprotector, an antioxidant and a cofactor. It is a tripeptide, a thiol and a L-cysteine derivative. It is a conjugate acid of a glutathionate(1-).
Effect of substituents on the extent of glutathione conjugation.
Toluene-4-sulfonamide is a sulfonamide that is benzenesulfonamide bearing a methyl group at position 4.
From 9b, toluene-p-sulfonamide is also formed, together with a 1 : 1 mixture of imidazole 8b and 6-cyano-2-methylpurine 10b. In ethanol solution, compound 9b incorporates one equivalent of ethanol, leading to a white solid isolated in 58% yield and identified as compound 11 (Scheme 4).
Ivermectin is a semi-synthetic antiparasitic medication derived from avermectins, a class of highly-active broad-spectrum antiparasitic agents isolated from the fermentation products of Streptomyces avermitilis. Ivermectin itself is a mixture of two avermectins, comprising roughly 90% 5-O-demethyl-22,23-dihydroavermectin A1a (22,23-dihydroavermectin B1a) and 10% 5-O-demethyl-25-de(1-methylpropyl)-22,23-dihydro-25-(1-methylethyl)avermectin A1a (22,23-dihydroavermectin B1b). Ivermectin is mainly used in humans in the treatment of onchocerciasis, but may also be effective against other worm infestations (such as strongyloidiasis, ascariasis, trichuriasis and enterobiasis).
Anthelmintic activities in vitro of the N-methylated amidoxime analogues (I) in comparison with PF1022A (1), mebendazol and ivermectin
Anthelmintic activities of the N-methylated amidoxime analogues (I) in comparison with PF1022A (1), mebendazol and ivermectin
Anthelmintic activities and lipophilicities of the N-methylated amidoxime analogues (I) in comparison with PF1022A (1), mono-thionated PF1022A (2), mebendazol and ivermectin
Antioxidant is a group of organic or inorganic substances capable of preventing the genotoxic and carcinogenic effects of free-radical compounds. Antioxidants bind to and neutralize ('scavenge') free radicals, thereby transforming them into non-toxic compounds and blocking their genotoxic and carcinogenic effects. This class of agents includes the vitamins C and E, the carotenoids, and selenium. Organic antioxidants are found in high concentrations in fruits, seeds and vegetables.
Bioactive 4H-chromene and pyrimidine-fused heterocycles.
(2-Methoxyphenyl)acetonitrile, also known as o-Methoxyphenylacetonitrile, is a nitrile, specifically an aromatic nitrile, containing a methoxy group (-OCH3) attached to a phenyl ring and a cyano group (-CN).
13C NMR Shifts of metalated 2-(2-methoxyphenyl)acetonitrile.