1-octene appears as a colorless liquid. Flash point 70 °F. Insoluble in water and less dense (at about 6 lb / gal) than water. Hence floats on water. The alkene is classified as a higher olefin and alpha-olefin.
Phosphorus hydrides and the adducts from addition to 1-octene.
Order of reactivity of phosphorus hydrides to 1-octene.
Heptanal is an n-alkanal resulting from the oxidation of the alcoholic hydroxy group of heptan-1-ol to the corresponding aldehyde.
Simplified scheme of the reaction of acetaldehyde and heptanal on a solid basic and acid catalyst.
Cross- and self-condensation from the carbanion of heptanal.
Cross-condensation between the carbanion of acetaldehyde and heptanal.
Selectivity to 1 as a function of heptanal conversion in the reaction of acetaldehyde and heptanal at different reaction temperatures.
Selectivity to 1 as a function of heptanal (A) and acetaldehyde (B) conversions in the reaction of acetaldehyde and heptanal at different acetaldehyde/heptanal molar ratios.
Octane-1-thiol is an alkanethiol that is octane substituted by a thiol group at position 1.
STm image of n-octanethiolates on Au(111) in the p(6×√3) arrangement (40 nm × 40 nm, -0.95 V, 37 pA). The gold substrate was immersed for 8 h in 0.1 m n-octanethiol solution in ethanol at 23 °C and stored under ambient conditions for 5 days before the image was recorded.
STm image of n-octanethiolates on Au(111) in the (√3×√3)-R30 arrangement (8 nm × 8 nm, -1 V, 16 pA). The gold substrate was immersed for 8 h in 0.1 m n-octanethiol solution in ethanol at 55 °C.
STm image of ligands 18 embedded in an n-octanethiolate matrix on Au(111) (33 nm × 33 nm, 1.2 V, 18 pA). The ligands appear as protrusions, and the height difference between the n-octanethiolates and the ligand 18 amounts to about 1.5-2.5 Å.
DIF-1 is a novel chlorinated alkyl phenone which induces differentiation of prestalk cells in Dictyostelium discoideum. DIF-1 is required for slug migration and specifies the anterior-like cells forming the basal disc and much of the lower cup.
Synthetic Routs to DIF Derivatives
Effects of DIF Derivatives on Cell Growth in HeLa, LM8, and 3T3-L1 Cells
Effects of DIF Derivatives on Infection and Growth of T. cruzi
Effects of DIF Derivatives on IL-2 Production in Jurkat T Cells
Effects of DIF Derivatives on Glucose Consumption in 3T3-L1 Cells
An oxadiazole is defined as a doubly unsaturated 5-membered ring composed of two carbons, two nitrogens, and one oxygen atom. Oxadiazoles are a class of antibacterials discovered by in silico docking and scoring of compounds against the X-ray structure of a penicillin-binding protein.
Rose bengal is an organic potassium salt that is the dipotassium salt of 2,3,4,5-tetrachloro-6-(2,4,5,7-tetraiodo-6-hydroxy-3-oxoxanthen-9-yl)benzoic acid. It has a role as a fluorochrome and a histological dye. It is a xanthene dye and an organic potassium salt. It contains a rose bengal(2-). It is functionally related to a fluorescin.
(a) Reichardt’s dye in water in the presence and absence of 5. (b) Rose Bengal (RB) in toluene in the presence and absence of 5.
O-phospho-L-threonine is a L-threonine derivative phosphorylated at the side-chain hydroxy function. It has a role as an Escherichia coli metabolite. It is a L-threonine derivative, a non-proteinogenic L-alpha-amino acid and an O-phosphoamino acid. It is a conjugate acid of an O-phosphonato-L-threonine(2-).
Synthesis of N-(4-bromobenzoyl)aminoethanethiol (A) and derivatization of phosphoserine and phosphothreonine residues (B).
Zileuton is a member of the class of 1-benzothiophenes that is 1-benzothiophene in which the hydrogen at position 2 is replaced by a 1-[carbamoyl(hydroxy)amino]ethyl group. A selective 5-lipoxygenase inhibitor, it inhibits the formation of leukotrienes LTB4, LTC4, LDT4, and LTE4. It is used for the management of chronic asthma. It has a role as an EC 1.13.11.34 (arachidonate 5-lipoxygenase) inhibitor, a non-steroidal anti-inflammatory drug, an anti-asthmatic drug, a leukotriene antagonist and a ferroptosis inhibitor. It is a member of ureas and a member of 1-benzothiophenes. It derives from a hydride of a 1-benzothiophene.
Naltrindole is a member of isoquinolines. Naltrindole (NTI), known as a delta opioid receptor antagonist, inhibited phorbol 12-myristate 13-acetate (PMA) induced superoxide (SO) release in polymorphonuclear leukocytes (PMNs).
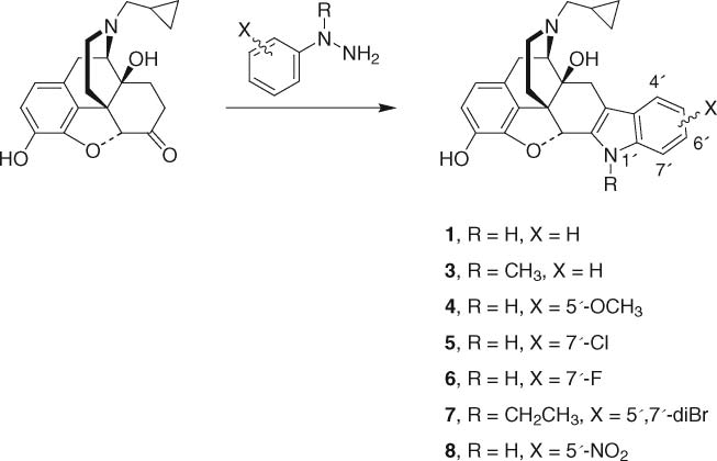
Naltrindole, naltriben and selected analogs.
Fischer synthesis of naltrindole and analogs from naltrexone.