Sulfoximines are a class of chemical compounds containing a sulfoximine functional group. This group features a sulfur atom bonded to two carbon atoms, a nitrogen atom, and an oxygen atom.
Structural relationships of sulfoximine derivatives.
FR901464 is a spiro-epoxide with potent anticancer activity that lowers the mRNA levels of oncogenes and tumour supressor genes. It is isolated from Pseudomonas sp. no.2663. It has a role as an antimicrobial agent, an antineoplastic agent and a bacterial metabolite. It is an acetate ester, a cyclic hemiketal, a member of pyrans, a monocarboxylic acid amide and a spiro-epoxide.
First Generation Retrosynthetic Analysis of FR901464
Our First Synthesis of FR901464
Summary of the Total Synthesis of FR901464
Final Stage of the Total Synthesis of FR901464
Growth inhibition of MCF-7 cells by FR901464 (blue squares) and meayamycin (97; red circles).
4-amino-TEMPO is a member of the class of aminoxyls that is TEMPO carrying an amino group at position 4. It has a role as a radical scavenger, a spin label, a neuroprotective agent and an antineoplastic agent. It is a member of aminoxyls, an aminopiperidine and a primary amino compound. It is functionally related to a TEMPO.
Synthesis Procedure for the Preparation of the 4-Amino-2,2,6,6-tetramethylpiperidin-1-oxyl Probe
Proline is a non-essential amino acid that is synthesized from glutamic acid.
Proposed transition-state models evoked to account for the enantioselectivity of the (S)-diarylprolinol 8 and 9, (S)-proline, and 6-cat-alyzed reactions.
Photoassisted synthesis of fused ketopiperazines in the l-proline and l-thiaproline series.
Aluminium hydroxide is a member of aluminium hydroxides. It has a role as an antacid and a flame retardant.
a) Schematic view of molecular test bed with rGO thin film as transparent top contact. b) Schematic cross section of the molecular junction and molecular structure of DHA 1 and VHF 2 illustrating the thermo-optical switching. Charge transport measurements are made through adjacent micropore junctions in series.
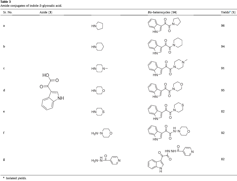
Indole-3-glyoxylic acid features an indole ring fused with a glyoxylic acid group. This compound is a yellowish solid and is primarily used as a building block in chemical synthesis, particularly in the creation of complex molecules. It also plays a role in plant growth regulation and is studied for its potential antimicrobial and anti-inflammatory properties.
Synthetic approach for indole-3-glyoxalic acid conjugates.
Melphalan is a phenylalanine derivative comprising L-phenylalanine having [bis(2-chloroethyl)amino group at the 4-position on the phenyl ring. It has a role as an antineoplastic agent, a carcinogenic agent, an alkylating agent, an immunosuppressive agent and a drug allergen. It is an organochlorine compound, a nitrogen mustard, a L-phenylalanine derivative and a non-proteinogenic L-alpha-amino acid.
Quartz is a mineral with formula of SiO2. The corresponding IMA (International Mineralogical Association) number is IMA1967 s.p.. The IMA symbol is Qz.
XRD pattern of the film deposited on quartz by AACVD of compound 8 after annealing at 1000 °C for 12 h, consistent with crystalline Ga2O3 (solid bars).
SEM images of the film obtained by AACVD of a toluene solution of 8 on (a) glass and (b) quartz. The quartz film was annealed at 1000 °C for 4 h.