Combretastatin A-4 (CA-4) is a natural anti-cancer agent isolated in 1989 from the African willow tree, Combretum caffrum. A synthetic Combretum caffrum-derived cell-permeable stilbenoid phenol that competes with colchicine tubulin binding and interferes with tubulin polymerization.
Morphological effects of combretastatin A4 (CA-4) analogues. Endothelial cells (EAhy 926 cells) were exposed to the test compounds and incubated for 2 h at the indicated concentrations. Representative photographs were taken at a magnification of 360ꢂ.
Cinchonine is cinchonan in which a hydrogen at position 9 is substituted by hydroxy (S configuration). It occurs in the bark of most varieties of Cinchona shrubs, and is frequently used for directing chirality in asymmetric synthesis.
Aldol-Tishchenko Reaction in the Presence of Ti(OtBu)4/Cinchonine Complex
Possible mechanistic reaction pathway. Ti ) Ti(OtBu)4 or BINOLTi(OtBu)2/cinchonine.
Tetrachloro-1,4-benzoquinone is a member of the class of 1,4-benzoquiones that is 1,4-benzoquinone in which all four hydrogens are substituted by chlorines. It has a role as a metabolite and an EC 2.7.1.33 (pantothenate kinase) inhibitor. It is an organochlorine compound and a member of 1,4-benzoquinones.
Quinones with high oxidation potential: 2,3-Dichloro-5,6-dicyano-1,4-benzoquinone, p-Chloranil, o-Chloranil
Anthranilic acid is an aminobenzoic acid that is benzoic acid having a single amino substituent located at position 2. It is a metabolite produced in L-tryptophan-kynurenine pathway in the central nervous system. It has a role as a mouse metabolite and a human metabolite. It is a conjugate acid of an anthranilate.
2-Chloro-N-[(9H-fluoren-9-ylamino)carbonyl]-6-fluorobenzamide, also known as TMN 355, is a potent and selective chemical inhibitor of cyclophilin A (CypA), a protein involved in inflammation and atherosclerosis. It acts by reducing foam cell formation and the secretion of inflammatory cytokines.
Selected examples of pharmaceuticals and bioactive compounds that contain polycyclic aromatic hydrocarbon (PAH) scaffolds: Cyclophilin A inhibitor, Mycobacterium Tuberculosis Inhibitor, FMOC-PHENYLALANINE, Hsp90 inhibitor. The fluorene core is shown in red.
Fumitremorgin C is an organic heteropentacyclic compound that is a mycotoxic indole alkaloid produced by several fungi. A potent and specific inhibitor of the breast cancer resistance protein multidrug transporter. It has a role as a mycotoxin and a breast cancer resistance protein inhibitor. It is an indole alkaloid, an organic heteropentacyclic compound and an aromatic ether.
Natural products containing spirocyclopropane unit.
Benzophenone is the simplest member of the class of benzophenones, being formaldehyde in which both hydrogens are replaced by phenyl groups. It has a role as a photosensitizing agent and a plant metabolite.
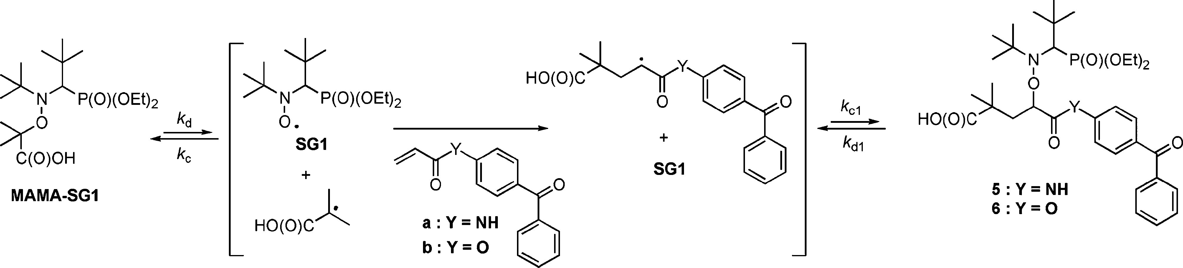
Intermolecular radical 1,2 addition of MAMA-SG1 onto benzophenone derivatives.
Tetralin is an ortho-fused bicyclic hydrocarbon that is 1,2,3,4-tetrahydro derivative of naphthalene. It is an ortho-fused bicyclic hydrocarbon and a member of tetralins. It derives from a hydride of a naphthalene.
FAAH inhibitors with 1,2,3,4-tetrahydronaphthalene C2 acyl side chain, Ki (nM).