Ferrocene appears as orange crystalline solid or orange-yellow powder. Ferrocene since its inception in the year 1951, has been extensively exploited as a crucial redox probe to unravel electrochemical charge-transfer dynamics in a variety of platforms ranging from solution-based systems and molecular thin-films to solid-state molecular electronics and spintronic devices.
In 2001, we had introduced the design shown in Scheme 1 for a ferrocene-based molecular diode in which rectification of electron transport through a molecular framework might be mediated by an applied gate voltage.
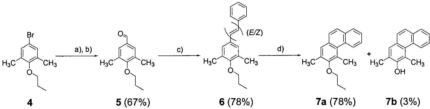
Using S-acetyl-4-iodothiophenol (11), ferrocene 12 could be prepared in high yield according to eq 1 of Scheme 4.
3,5-Di-tert-butylcatechol, also known as 3,5-DTBC, is a substituted catechol, meaning it's a benzene ring with two hydroxyl groups (-OH) and two tert-butyl groups (C(CH3)3) attached. It's a crystalline powder, often used as a polymerization inhibitor and stabilizer for monomers like styrene and butadiene.
Oxidation of the 3,5-di-tert-butylcatechol by the catalyst.
Dependence of the reaction rates on pH for the oxidation of 3,5-di-tert-butyl-catechol (3,5-DTBC) catalyzed by 1.
PIM Kinase Inhibitor SGI-1776 is a small-molecule pan-PIM protein kinase inhibitor with potential antineoplastic activity. PIM kinase inhibitor SGI-1776 binds to and inhibits the activities of PIM-1, -2 and -3 serine/threonine kinases, which may result in the interruption of the G1/S phase cell cycle transition, the expression of pro-apoptotic Bcl2 proteins and tumor cell apoptosis. PIM kinases play key roles in cell cycle progression and apoptosis inhibition and may be overexpressed in various malignancies.
Small molecule inhibitors targeting Pim family kinases: SGI-1776, SMI-4a, K00486, CX-6258, DHPCC-9
Huperzine A, is a naturally occurring sesquiterpene alkaloid found in the extracts of the firmoss Huperzia serrata. The botanical has been used in China for centuries for the treatment of swelling, fever and blood disorders. Recently in clinical trials in China, it has demonstrated neuroprotective effects. It is currently being investigated as a possible treatment for diseases characterized by neurodegeneration – particularly Alzheimer’s disease.
2D binding modes of native ligand huperzine A (HUP) and compound 10 in the active site of AChE (PDB ID: 4EY5), respectively.
The catalytic activity of the NHC-palladium cyclohexane library was evaluated (top) and compared with that of the IPr-palladium cyclohexane acetanilide complex 11 and a commonly used commercially available IPr-Pd precatalyst (bottom) in a model reaction (Scheme 2).
Suvorexant is a DEA Schedule IV controlled substance. Substances in the DEA Schedule IV have a low potential for abuse relative to substances in Schedule III. It is a Depressants substance.