Uracil is a common and naturally occurring pyrimidine nucleobase in which the pyrimidine ring is substituted with two oxo groups at positions 2 and 4. Found in RNA, it base pairs with adenine and replaces thymine during DNA transcription. It has a role as a prodrug, a human metabolite, a Daphnia magna metabolite, a Saccharomyces cerevisiae metabolite, an Escherichia coli metabolite, a mouse metabolite and an allergen. It is a pyrimidine nucleobase and a pyrimidone. It is a tautomer of a (4S)-4-hydroxy-3,4-dihydropyrimidin-2(1H)-one.
Activation of the human P2Y6 receptors by uracil nucleotides.
1,10-phenanthroline is a phenanthroline. It has a role as an EC 3.4.19.3 (pyroglutamyl-peptidase I) inhibitor and an EC 2.7.1.1 (hexokinase) inhibitor.
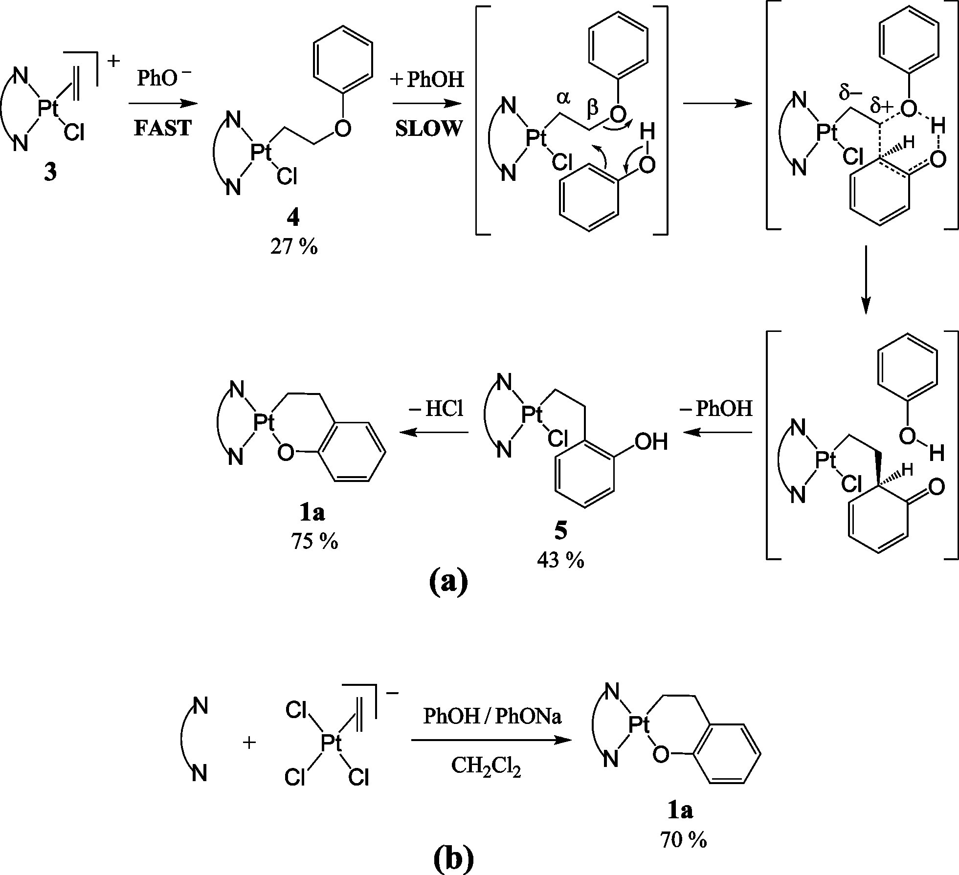
Step-by-step (a) and one-pot (b) synthesis of complex 1a (N–N = 1,10-phenanthroline).
Triphenylsulfonium triflate (TPS-tf) is a photo-acid generator which can be incorporated in conjugated polymers to enhance the luminescence and reduce the operating voltage. The performance efficiency of the fabricated device is increased by improving the mobility of charge carriers.
O-Phenylation of alcohols and phenols (1) by triphenylsulfonium triflate (2a).[a] [a] Reaction conditions: 1 (0.2 mmol), 2a (0.3 mmol), CsOH (0.3 mmol), 1,4-dioxane (2 mL), 508C, N2, 24 h. Isolated yield. [b] Cs2CO3 was used as a base. [c] NaH was used as a base. [d] 1:2a : CsOH=1:3:3. [e] 0.4 mmol scale. [f] 1:2a : CsOH=1:1.5:3.
Acetone d6 is a deuterated compound that is acetone in which all six hydrogen atoms are replaced by deuterium. It has a role as a polar aprotic solvent and a NMR solvent. It is a deuterated compound and a member of propanones.
NMR spectroscopic analysis of TBAF-promoted epoxyalcohol hydrolysis (600 MHz, acetone-d6).
1,2,3-Trioxolane is a cyclic organic peroxide with a three-membered ring containing three oxygen atoms. It is also known as a molozonide and is an unstable intermediate formed during the ozonolysis of alkenes. This unstable intermediate quickly rearranges to form the more stable 1,2,4-trioxolane (ozonide).
a) Artemisinin and its semisynthetic analogues. b) Comparison of tetraoxanes with trioxolane-based antimalarials.
Methanol appears as a colorless fairly volatile liquid with a faintly sweet pungent odor like that of ethyl alcohol. Completely mixes with water. The vapors are slightly heavier than air and may travel some distance to a source of ignition and flash back. Any accumulation of vapors in confined spaces, such as buildings or sewers, may explode if ignited. Used to make chemicals, to remove water from automotive and aviation fuels, as a solvent for paints and plastics, and as an ingredient in a wide variety of products.
Mechanistic proposal.
Distribution of hydrocarbons formed in the aromatization of a) methanol over H-GaAl-ZSM-5 at 5508C, b) methanol over Mo-Zn/H-ZSM-5 at 5008C, c) ethanol over H-GaAl-ZSM-5 at 6258C, and d) dimethyl ether (DME) over H-GaAl-ZSM-5 at 5508C in the presence (solid bars) and absence (open bars) of methane.
Acetone is a colorless, volatile, flammable liquid organic compound, primarily used as a solvent and in the production of various industrial and consumer products.
Heme-mediated OAT to RSH (CysSH or GSH) generates sulfinic acid RS(O)H, which is trapped by excess RSH to form RSSR or by dimethyl ketone (D) to form D−SR
Chloroform is a colorless liquid with a pleasant, nonirritating odor and a slightly sweet taste. It will burn only when it reaches very high temperatures. In the past, chloroform was used as an inhaled anesthetic during surgery, but it isn't used that way today. Today, chloroform is used to make other chemicals and can also be formed in small amounts when chlorine is added to water.
UV-vis spectra of polymers and model compound in CHCl3 (1.0 Â 10▔5 M).
CD spectra of a) enantiomers (R)-3 and (S)-3 and b) (R)-4c in chloroform/n-hexane mixture at 25 °C.