Schematic diagram showing the possible structural changes of BHMT during the binding process with substrates and products. The blue ovals (S1-S6) represent the different structural states of BMHT monomers. Hcy represents homocysteine, Bet represents betaine, Met represents methionine, Dmg represents dimethylglycine, and TS represents the assumed transition state of the substrate.
Sulfanilamide is a sulfonamide in which the sulfamoyl functional group is attached to aniline at the 4-position. It has a role as an EC 4.2.1.1 (carbonic anhydrase) inhibitor, an antibacterial agent and a drug allergen. It is a substituted aniline, a sulfonamide antibiotic and a sulfonamide.
Ammonium acetate is an ammonium salt obtained by reaction of ammonia with acetic acid. A deliquescent white crystalline solid, it has a relatively low melting point (114℃) for a salt. Used as a food acidity regulator, although no longer approved for this purpose in the EU. It has a role as a food acidity regulator and a buffer. It is an acetate salt and an ammonium salt.
Condensation of benzil, benzaldehyde, ammonium acetate and n-Pr amine using recycled catalysts.
Tetraphenylethylene (TPE) is an organic compound which known for its propeller-shaped structure with four phenyl rings attached to a central double bond, which are twisted out of plane.
Chemical structures of mannose-substituted tetraphenylethylenes (TPEs), 1a–c.
Schematic representation of a “turn-on” fluorescent sensor for Con A using a sugar-modified tetraphenylethene (TPE) based on an aggregation-induced emission (AIE).
Synthetic routes to the TPE–Ar luminogens.
Plots of the fluorescence quantum yields determined in THF/H2O solutions by using 9,10-diphenylanthracene (F=90% in cyclohexane) as the internal standard versus the fraction of water in the solvent. Insets: photo- graphs of the TPE–Ar luminogens in the THF/water mixture (fw =99%) taken under the illumination of a 365 nm UV lamp. Excitation wavelengths [nm]: 320 for TPE–ptol and TPE–mtol, and 310 for the other six fluorophores.
PL spectra of a) TPE–pTPA and b) TPE–mTPA in THF/H2O mixtures with different water fractions. Concentration [mM]: 10; excitation wavelength [nm]: 310.
The PL spectra of the films of the TPE–Ar luminogens. The thin films were spin-coated onto ITO glass from dilute THF solutions with concentrations of 1 mgmLÀ1. Excitation wavelengths [nm]: 320 for TPE–2pTPA and TPE–2mTPA, 350 for TPE–2ptol and 340 for the rest of the fluorophores.
Calculated molecular orbital amplitude plots of HOMO and LUMO levels of the TPE–Ar luminogens.
An amorphous silicon oxide with absorbing properties. It is commonly used as a desiccant and chromatographic stationary phase. Fully hydrated silica gel has unique properties known as silicic acid.
Schematic of the isolation of ionic liquid 5 from sugars and furanics by chromatography using FluoroFlash® silica gel. The eluent is water.
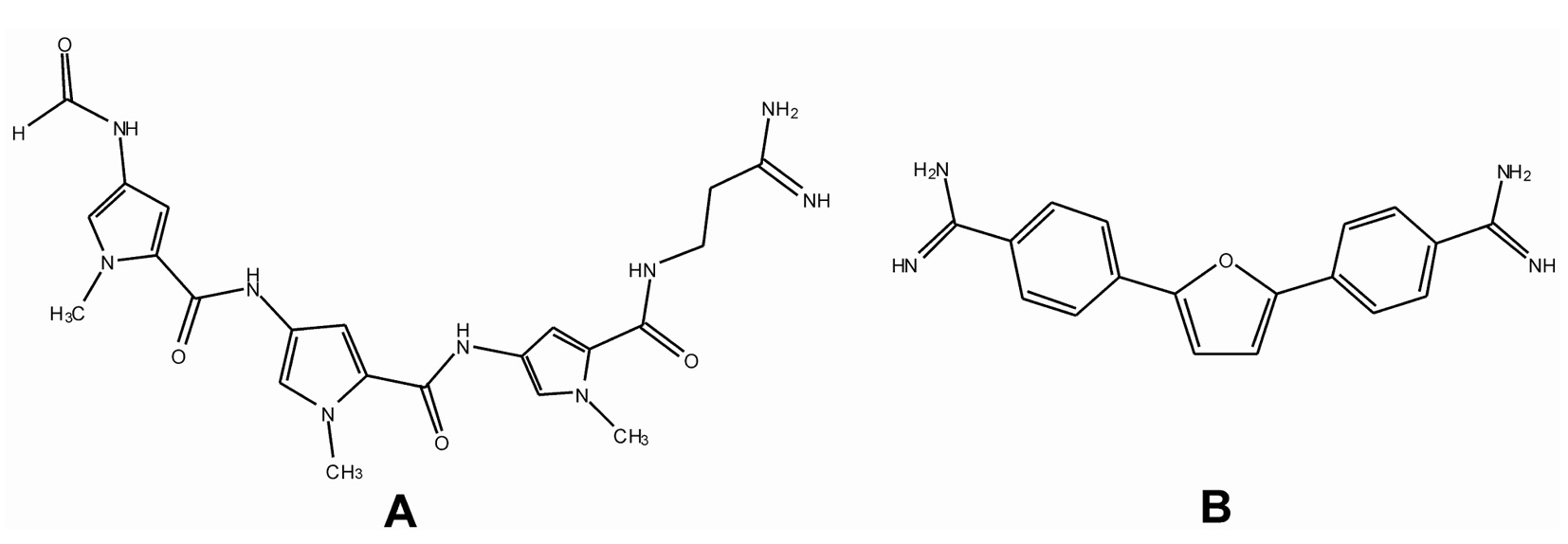
Stallimycin is an oligopeptide antineoplastic antibiotic isolated from the bacterium Streptomyces distallicus. Distamycin preferentially binds to adenine-thymine (A-T) rich sequences in the minor groove of DNA, thereby inhibiting DNA replication and RNA transcription. In addition to antitumor effects, distamycin also possesses antiviral and antiprotozoal activities and is used as a chromosome dye. (NCI04)