Ethylenediamine is an alkane-alpha,omega-diamine in which the alkane is ethane. It has a role as a GABA agonist. It derives from a hydride of an ethane.
Related images
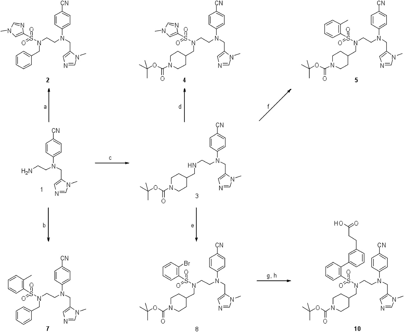
Synthesis of Ethylenediamine-Scaffold Compounds in the Present Study
Related Questions and Answers
No related questions yet